无线电爱好网

 找回密码
 注册

QQ登录

只需一步,快速开始

扫一扫,访问微社区

车用电子设备所面对的恶劣用电环境

2018-11-20 14:11| 发布者: lfcx| 查看: 973| 评论: 0|来自: 网络

摘要: 似乎是为了与我特别关注的养生话题相匹配,最近我在寻找、阅读一些关于心脏、血管、血液、血氧、心电图的资料,这都是因为立锜出了一款型号为 RT1025 的 ECG/PPG 测量芯片,可以 24 位和 16 位的精度同时提供相关的 ...

似乎是为了与我特别关注的养生话题相匹配,最近我在寻找、阅读一些关于心脏、血管、血液、血氧、心电图的资料,这都是因为立锜出了一款型号为 RT1025 的 ECG/PPG 测量芯片,可以 24 位和 16 位的精度同时提供相关的测量数据。借助 RT1025 所提供的数据,数据处理专家可以分析你的心脏工作状况,计算出你的心率、血压、血氧饱和度等信息。为了方便用户使用,立锜还准备了与之相关的开发装置和一些介绍文章与视频,用户拿到这些东西以后可以很容易地去开发自己的医疗或是健康管理设备,对此有兴趣的读者可以加入成为立锜会员(微信菜单里有相关链接可用),订阅立锜电子报,因为即将发布的立锜电子报将会专门报道这件事情。

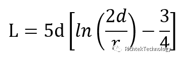
回到我们最擅长的电源管理领域来思考,记忆力好的工程师大概会记得半径为 r、长度为 d 的直圆柱导线的电感量L可以这样来估算(准确度优于几个百分点):

在这个计算公式里,L 的单位是 nH,r 和 d 的单位是英寸。30 号线规导线的直径近似为 10mil(0.254mm),若线长为 1 英寸,其局部电感的计算值为 26nH。因为 1 英寸等于 25.4mm,所以 1mm 这种导线的电感大约为 1nH,这是一个经验数据,很好记,虽然不准确,但是会比较有用,因为在做 PCB 设计时很容易就可以用上了。当导体长度增加的时候,局部电感会增大。如果导线长度增加两倍,局部电感的增长将远大于两倍,这是因为电感并非导线本有的特性,它是导线周围磁力线多少的衡量指标,当导线长度增加时,环绕在这段导线周围的磁力线除了流过它本身的电流产生的以外,还有其他部分流过的电流所生成的磁力线。降低导线局部电感的方法之一是增大导线的截面积,但这样会使导线的成本增加。另外一种降低导线电感的方法是让电流回流的导线与之实现深度耦合,这可以通过平行布置来实现,而同轴电缆的耦合程度就更高了,但是也同样存在成本增高的问题。

电感是能存储能量的,它所储存的能量以磁场的形式存在,该能量 E 与电感量  L 和电流 i 之间的关系为

电感所储存的能量与电感量成正比,导线越长,电感越大,所存能量便越多;电感所储存的能量与电流的平方成正比,这可是一件不得了的事情,由于在有限的时空当中能量是不能突变的,所以对于急速增加的电流,电感会对此进行拼命的抵抗,施加电流的电池的电压将不能真正到达负载处,两者之间将存在巨大的差异;对于急速减少的电流,电感也会拼命抵抗,负载端的电压将远高于电池电压。所以,即使车用电池的内阻已经够低了,车用电缆也已经够粗了,车辆电器所面临的电源环境仍然是极其恶劣的,感性的发电机、电池、电动机以及各种负载都连接到电池总线上,而且可以各自独立工作,这就为车辆的用电环境带来了很多变数,我们要面对的条件将极其恶劣,这可从下表所列的汽车电子应用中常见的恶劣电源瞬态清单中看出来。

除了事物本身存在的这些问题以外,人为的错误也可能带来危险,例如你可能把两个电池串联起来接入了系统,也可能将电池的正负极性弄错了,这些都有可能给车用电子设备带来灾难性的影响。

为了让所有从事车用电器产品开发的人都有一个共同的标准可以遵守,国际标准化组织制定了 ISO16750-2 和 ISO7637-2 的标准来定义车用电子设备需要通过的电源瞬态测试指标,相关的项目如下表所示:

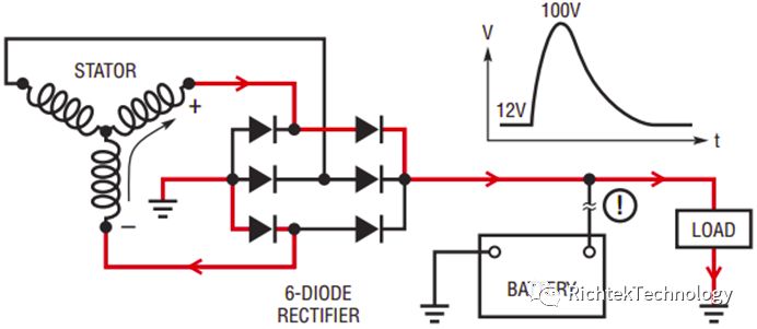
对于电源管理系统来说,低压造成的危害通常不是致命的,高压则常常造成灾难性的影响。车内应用中最有名的高压大概就是由抛负载(Load Dump)过程所产生的,因为当感性的发电机正在为电池充电时,如果电池突然断开了(负载消失),发电机输出的电流不能突然消失,100 多 V 的高电压尖峰就生成了,持续的时间还非常长,可以多达 400ms,通常的电源器件是很难承受的。

现代的发电机为了避免这个问题的出现,有的会加入电压钳位的功能,使其输出电压不会超出 36V,这可能是现在很多车用电源管理器件的最高工作电压定义为 36V 的原因,立锜的很多车规器件也是这样来定义的。即便如此,在车用电子设备的输入端增加能够吸收高于 36V 电压脉冲能量的电压抑制器件还是很有必要的,因为与盲目地提高电源管理器件的耐压相比,这样做的成本可能更加低廉。

车辆电池总线电压的另一个极端是低压,这通常发生在启动汽车发动机的时候,并以寒冷的冬季更为严重,因为电池在低温下的内阻更高,启动电机消耗的电流在电池内阻上造成的压降更大。针对这个问题,标准所定义的最低电源电压为 6V,并且制订了这样的测试波形:

要车用电子设备确保在 6V-36V 的电压范围内都能正常工作并不是一件容易的事情,因为单纯的升压或降压转换器有时候要满足负载的要求是不可能的,这时候就有必要引入能够自动升降压的转换架构,传统的 SEPIC 架构就很可能被使用到,而我们曾经介绍过的 RTQ7880 则采用了更好的 Buck-Boost 架构,能在 Buck 和 Boost 模式之间自动切换,完全根据输入电压和输出电压之间的关系选择工作模式,使用起来就相对比较自由,同时还具有更高的转换效率。

由于不同的使用情况就会有不同的恶劣境况出现,提出一个简单的最坏电源环境模型是比较容易让人理解的,我看到的最佳波形大概是这样的:

当把这样的电压波形施加到你的设备电源输入端时,它必须要能够活着走出来。

图中的 6V 电压是汽车发动机起动期间因电动机消耗大电流形成的电压跌落造成的;120V 峰值电压是大负载突然消失时由发电机电感储能造成的;负尖峰的幅度是 -150V,当一个感性负载正在工作而供电却突然消失了时,感性负载的惯性就造就了它;24V 电压是在有人要将一个外来的电池接入系统,但却不小心将两个电池串联起来了时造成的;反向的电池电压则比较简单,就是把电池的极性弄错了,张冠李戴,系统将受到持续的反向电压冲击。

这么复杂的任务看起来是要让设备承担,但实际的承担者却都是电源管理系统。想想那些把全部身心都献给了电源管理事业的人,要设计稳定输出满足负载要求的系统就已经很不容易了,还要面对这么艰难的任务,说起来也真是不容易。立锜在这样的时候能够做的事情就是把最好的电源管理器件提供给你,助你一臂之力。需要了解立锜现有车规产品的读者请点击阅读原文了解相关信息。


路过

雷人

握手

鲜花

鸡蛋

相关阅读

QQ|关于本站|小黑屋|Archiver|手机版|无线电爱好网 ( 粤ICP备15040352号 ) 无线电爱好技术交流5 无线电爱好技术交流1无线电爱好技术交流9开关电源讨论群LED照明应用、电源无线电爱好技术交流4无线电爱好技术交流8无线电爱好技术交流10无线电爱好技术交流11

粤公网安备 44030702001224号

GMT+8, 2022-7-29 15:39 , Processed in 0.124800 second(s), 18 queries .

Powered by Discuz! X3.4 Licensed

Copyright © 2001-2020, Tencent Cloud.

返回顶部